Ssatte SFLO SP E



Typical Applications

  • Distance water irrigation
  • High efficiency of increasing oxygen on aquaculture
  • Pumping water from deep well
  • Gardening
  • Fountain

Operating Conditions

  • Non-corrosive water; the volume ratio al sand content no
    more than 3%; particle size less than Imm
  • Max medium temperature up to +40°C; PH value remains 5-10
  • Work close to the rated head and must be immersed in water.

Product Feature

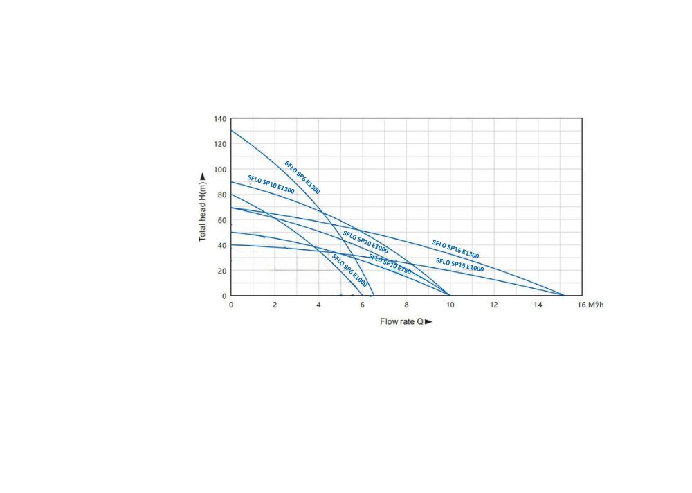
  • Max Head: 130m
  • Max flow: 15m³/h

Technical Data

Model lmpeller Solar array
Voltage (v)
Solar array
Power (w)
Max.flow
(m³/h)
Max.head (m) Outlet(inch) Weight (kg) Dimension (mm)
L H
SFLO SP6 E1000   72 1320 6 80 1.25" 15.5 100 740
SFLO SP6 E1300   108 1680 6.5 130 1.25" 16.5 100 880
SFLO SP10 E750   72 960 10 50 1.5" 13.5 100 540
SFLO SP10 E1000 Centrifugal
(Stainless
steel)
72 1320 10 70 1.5" 15 100 650
SFLO SP10 E1300   108 1680 10 90 1.5" 15.5 100 680
SFLO SP15 E1000   72 1320 15 40 2" 13.5 100 540
SFLO SP15 E130   108 1680 15 70 2" 14 100 620

Social Media

Follow us via the below social networks: